NM4-64神经元荧光探针
产品货号: N4072
产品规格: 1 mg
目录价(元):2000
推荐仪器:荧光显微镜
大包装询价
产品概述:
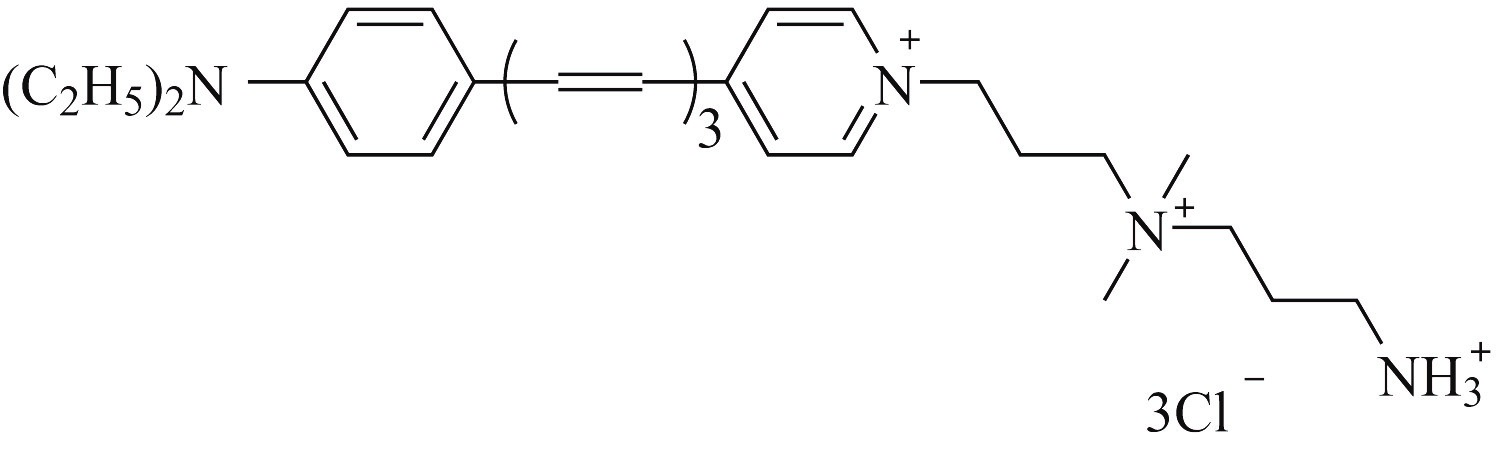
产品参数
外观:可溶于水的紫色固体
Ex/Em:543/- nm, (emission in MeOH is too weak to measure)
Ex/Em:510/750 nm (in membranes)
分子式:C29H45N4Cl3
分子量:555.5

储存条件
-20℃避光保存,有效期见外包装。
产品介绍
神经末梢探针是一系列阳离子型苯乙烯基荧光染料,用于跟踪神经肌肉连接或突触的突触活动。这类染料通常具有亲脂性尾部(两个碳链)和带阳离子的高亲水性头部。神经末梢染料被命名为 NerveRed 或 NerveGreen 后接一个碳数,表示亲脂性尾巴的长度。NM 染料具有相似的结构,此外,它们在带正电的头部具有醛固定胺。
阳离子苯乙烯基染料是通过活性依赖性染色突触小泡来发挥功能。染料与细胞或组织共孵育时,染料的水相部分没有荧光,而染料的亲脂性尾部插入细胞膜并呈现强荧光。神经刺激后,在进行胞吞作用时,染料被包裹在囊泡内,因此,洗去细胞表面附着的染料后,荧光信号强弱表示新形成的囊泡的数量的多少。反之,在胞吐作用时,染料与神经递质一起从囊泡释放,导致荧光信号减少。因此,荧光强度的变化反映了胞吞/胞吐或突触活动的情况。内吞过程中荧光增加的速率——“结合速率”和胞吐过程中荧光减少的速率 ——“解离速率”因染料种类而异。通常,具有较长亲脂性尾部和更多双键的染料对膜具有较高的亲和力,因此具有较高的结合速率和较低的解离速率。
本产品等同于 AM4-64,NM4-64 染料能用于固定细胞染色。
说明书:
UE-N4072
MSDS:
MSDS N4072 NM4-64
使用本产品的文献:
参考文献
1.A Cell-Free Assay Allows Reconstitution of Vps33p-Dependent Transport to the Yeast Vacuole/Lysosome
应用方向:液泡膜标记:酵母细胞
2.Cooperative Binding of the Cytoplasm to Vacuole Targeting Pathway Proteins, Cvt13 and Cvt20, to Phosphatidylinositol 3-Phosphate at the Pre-autophagosomal Structure Is Required for Selective Autophagy
应用方向:液泡膜标记:酵母细胞
3.Function, intracellular localization and the importance in salt tolerance of a vacuolar Na(+)/H(+) antiporter from rice
应用方向:液泡膜标记:水稻
4.Neural cell adhesion molecule promotes accumulation of TGN organelles at sites of neuron-to-neuron contacts
应用方向:神经元标记示踪
5.Evidence that subcellular localization of a bacterial membrane protein is achieved by diffusion and capture
应用方向:检测细胞质膜融合的过程
6.Bacterial DNA segregation by dynamic SopA polymers
应用方向:细菌膜标记