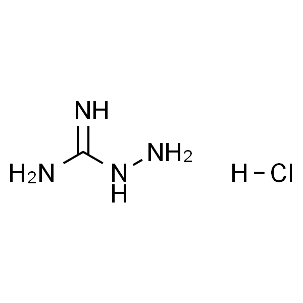
氨基胍盐酸盐
货号:
IA4390
品牌:
Jinpan
暂无详情
产品简介
| 有效期 | 2年 |
| EC | EINECS 217-707-7 |
| MDL | MFCD00039074 |
| 别名 | 甲脒肼盐酸盐;氨基胍盐酸盐;肼甲酰亚胺酰胺一氯化氢 |
| 英文名称 | Aminoguanidine Hydrochloride |
| CAS | 1937-19-5 |
| 分子式 | CH6N4·HCl |
| 分子量 | 110.55 |
| 储存条件 | 2-8℃ |
| 纯度 | ≥98% |
| 外观(性状) | White to off-white (Solid) |
| 单位 | 瓶 |
| SMILES | Cl[H].N([H])([H])/C(=N/N([H])[H])/N([H])[H] |
| 靶点 | Diamineoxidase,NO Synthase |
| 规格 | 50mg 100mg |
是二胺氧化酶和一氧化氮合酶抑制剂。