Epothilone A;埃博霉素 A
货号:
IE0770
品牌:
Jinpan
暂无详情
产品简介
| MDL | MFCD26960884 |
| 别名 | 西洛他唑;(-)-EpothiloneA;EpoA |
| 英文名称 | Epothilone A |
| CAS | 152044-53-6 |
| 分子式 | C26H39NO6S |
| 分子量 | 493.66 |
| 纯度 | ≥98% |
| 单位 | 瓶 |
| 生物活性 | Epothilone A 是紫杉醇和管蛋白 (tubulin) 聚合物结合的竞争性抑制剂,其 Ki 值为 0.6-1.4 μM。[1-2] |
| In Vitro | 当应用于人T-24膀胱癌细胞系时,埃坡霉素A在体外具有高度细胞毒性(IC 50 =0.05μM)。基于竞争测定,埃坡霉素A与微管蛋白的结合亲和力与紫杉醇对微管蛋白的结合亲和力具有相同的数量级。从微管蛋白结合位点取出100nM(3H)紫杉醇的IC50对于紫杉醇为3.6μM,对于埃坡霉素A为2.3μM,对于patupilone为3.3μM[2]。 |
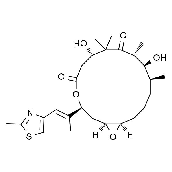
| SMILES | O=C(C[C@H](O)C1(C)C)O[C@H](/C(C)=C/C2=CSC(C)=N2)C[C@]3([H])O[C@]3([H])CCC[C@H](C)[C@H](O)[C@@H](C)C1=O |
| 靶点 | Microtubule/Tubulin |
| 数据来源文献 | [1]. Kowalski RJ, et al. Activities of the microtubule-stabilizing agents epothilones A and B with purified tubulin and in cells resistant to paclitaxel (Taxol(R)). J Biol Chem. 1997 Jan 24;272(4):2534-41. [2]. Cheng KL, et al. Novel microtubule-targeting agents – the epothilones. Biologics. 2008 Dec;2(4):789-811 |
| 规格 | 1mg 5mg 10mg 20mg |
Epothilone A 是紫杉醇和管蛋白 (tubulin) 聚合物结合的竞争性抑制剂。