Ethidium Homodimer-I (溴乙啡锭二聚体I,EthD-I) 货号: E4052 规格: 1 mg

Ethidium Homodimer-I (溴乙啡锭二聚体I,EthD-I)

产品货号: E4052

产品规格: 1 mg

目录价(元):1560

推荐仪器:荧光显微镜

大包装询价


产品概述:

产品参数

外观:可溶于DMSO和MeOH的红色固体
Ex/Em (结合DNA)= 528/617 nm
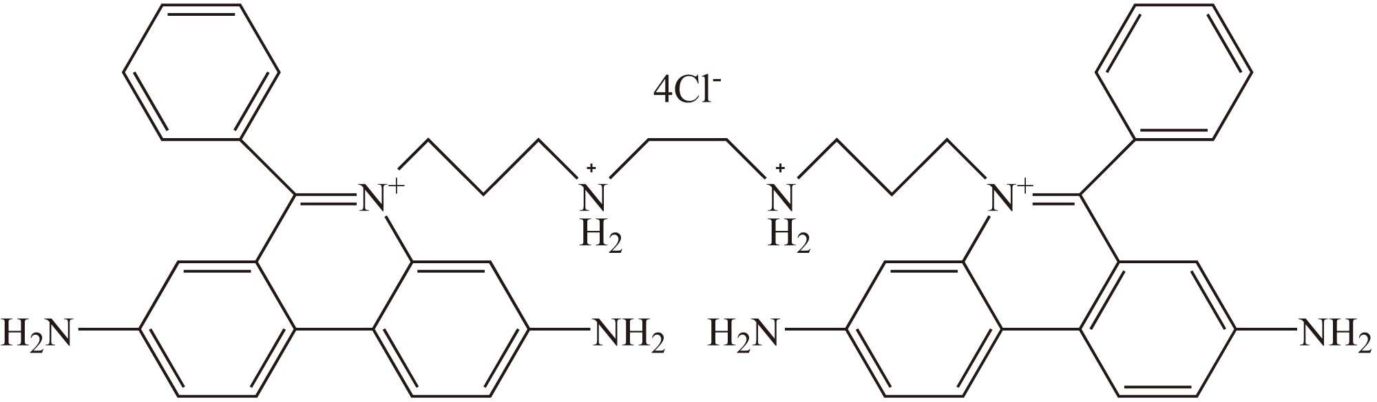
CAS号:61926-22-5
分子式:C46H50Cl4N8
分子量:856.8
分子结构图:

Ethidium Homodimer-I (溴乙啡锭二聚体I,EthD-I) 货号:               E4052  规格:               1 mg


储存条件
4℃避光保存,有效期见外包装。

产品介绍

Ethidium Homodimer-I (EthD-I)是一种高亲和性的荧光核酸染料,与DNA或RNA结合后,可以使荧光增强30多倍。用于哺乳动物、细菌、酵母和真菌的染色。EthD-I带有较强正电荷,所以该染料不能穿过细胞膜进行活细胞染色,但是能穿过死细胞膜的无序区域而到达细胞核并且嵌入DNA双链从而产生红色荧光。因此EthD-I可以准确的检测溶液中的核酸或者解体细胞中的核酸,是一种较灵敏的核酸染色剂。
以贴壁细胞(盖玻片)举例,每个样本100 μL染色工作液,染色工作液浓度4 μM计算,1 mg配置为工作液大概可以用于2917个样本。


注意事项
1. 使用前请将产品瞬时离心至管底,再进行后续实验。
2. 荧光染料均存在淬灭问题,请尽量注意避光,以减缓荧光淬灭。
3. 为了您的安全和健康,请穿实验服并戴一次性手套操作。


说明书:

Ethidium Homodimer-I (溴乙啡锭二聚体I,EthD-I) 货号:               E4052  规格:               1 mg UE-E4052    
常见问题解答:

如何为该试剂染色实验准备死细胞对照?

有两种简单的方法。一种是通过60°C放置20分钟热灭活细胞。第二种是将细胞放入70%乙醇,乙醇固定的细胞可以在四度冰箱中长时间保存直到使用,可达好几年。

可染单链DNA吗?
可用于ssDNA、dsDNA、RNA、寡核苷酸和三链DNA的染色染料。


使用本产品的文献:

参考文献
1.Detection of calcium ionophore induced membrane changes in dog sperm as a simple method to predict the cryopreservability of dog semen.
应用方向:检测精子细胞活力

2.Inhibition of restriction endonuclease activity by DNA binding fluorochromes.
应用方向:EthD-I影响II型限制性内切酶的活性

3.Development, DNA fragmentation and cell death in porcine embryos after 24 h storage under different conditions.
应用方向:与TUNEL和Hoechst 33342联用构成的荧光胚胎质量染色技术,评估细胞总数和凋亡率

4.Separation of nucleic acids by capillary electrophoresis in cellulose solutions with mono- and bis-intercalating dyes.
应用方向:与EthD-2联用对phi X 174的DNA进行宽谱和不完全分离

5.No entry for TAT(44-57) into liposomes and intact MDCK cells: novel approach to study membrane permeation of cell-penetrating peptides.
应用方向:对质膜受损的细胞,通过EthD-1进行核染色鉴定

T4 PDG 嘧啶二聚体糖基酶(T4 核酸内切酶 V)(也称:T4 PDG 嘧啶二聚体糖基化酶) #M0308S 2,000 units-NEB酶试剂 New England Biolabs

上海金畔生物科技有限公司代理New England Biolabs(NEB)酶试剂全线产品,欢迎访问官网了解更多产品信息和订购。

产品资料 – DNA修饰酶与克隆技术 – DNA 修复蛋白

T4 PDG 嘧啶二聚体糖基酶(T4 核酸内切酶 V)(也称:T4 PDG 嘧啶二聚体糖基化酶)                              收藏

T4 PDG 嘧啶二聚体糖基酶(T4 核酸内切酶 V)(也称:T4 PDG 嘧啶二聚体糖基化酶)                                   #M0308S 2,000 units T4 PDG 嘧啶二聚体糖基酶(T4 核酸内切酶 V)(也称:T4 PDG 嘧啶二聚体糖基化酶)                                   #M0308S 2,000 units T4 PDG 嘧啶二聚体糖基酶(T4 核酸内切酶 V)(也称:T4 PDG 嘧啶二聚体糖基化酶)                                   #M0308S 2,000 units T4 PDG 嘧啶二聚体糖基酶(T4 核酸内切酶 V)(也称:T4 PDG 嘧啶二聚体糖基化酶)                                   #M0308S 2,000 units

货 号
规 格
价 格(元)
北京库存
上海库存
广州库存
成都库存
苏州库存
武汉库存

#M0308S
2,000 units
939.00

Download:       

  • isoschizomers     |
  • compatible ends     | 
  • single letter code

特性

 DNA 损伤研究
 单细胞凝胶电泳(彗星实验) 

概述

T4 PDG 嘧啶二聚体糖基酶(T4 核酸内切酶 V),曾被称为:T4 PDG 嘧啶二聚体糖基化酶

T4 PDG(T4 嘧啶二聚体糖基化酶)既有 DNA 糖基化酶活性,又有 AP 裂解酶活性。16 KD 的蛋白质可识别因紫外线照射引起的 cis-syn 型环丁烷嘧啶二聚体。该酶切割嘧啶二聚体的 5´ 端糖苷键,同时其内切酶活性切割 AP 位点上的磷酸二酯键。 

来源

含有编码 T4 denV 基因质粒的 E. coli 菌株。 

反应条件

1X T4 PDG 反应缓冲液
[25 mM Na2PO4(pH 7.2 @ 25℃),100 mM NaCl,1 mM EDTA,1 mM DTT]。加入 100 μg/ml BSA,37℃ 温育。 

质保声明

T4 嘧啶二聚体糖基化酶经过严格的质控检测,确保该产品具有最高的活性和纯度。详情请联系我们。  

单位定义

1 单位指 20 μl 反应体系中,37℃ 条件下,30 分钟内使超过95% 的 0.5 μg 经紫外线照射诱变的超螺旋 pUC19 DNA 变成切刻型质粒的酶量。切刻可通过琼脂糖凝胶电泳来检测。诱变后的质粒 DNA 平均含有 3-5 个嘧啶二聚体。单位活性检测条件请联系我们。  

浓度

10,000 units/ml。 

注意事项

为取得最佳使用效果,建议温育时间不超过 30 分钟。 

参考文献

关于该酶性质和产品应用的参考文献,请联系我们。